SOLUTION: i need the following problems with the solutions 1. x^2 -8x^2 + 16 =0 2. 1/T =r/R - r for R 3. 7x^2 -2x +4 = 0 4. F = KmN/r^2 for r

Algebra ->  Customizable Word Problem Solvers  -> Evaluation -> SOLUTION: i need the following problems with the solutions 1. x^2 -8x^2 + 16 =0 2. 1/T =r/R - r for R 3. 7x^2 -2x +4 = 0 4. F = KmN/r^2 for r      Log On

Ad: Over 600 Algebra Word Problems at edhelper.com


   



Question 480038: i need the following problems with the solutions
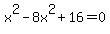
1. x^2 -8x^2 + 16 =0
2. 1/T =r/R - r for R
3. 7x^2 -2x +4 = 0
4. F = KmN/r^2 for r

Answer by Tatiana_Stebko(1539) About Me  (Show Source):
You can put this solution on YOUR website!
2. 1%2FT+=r%2F%28R+-+r%29 for R
R-r=T%2Ar
R=T%2Ar%2Br
R=r%28T%2B1%29
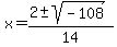
3.7x%5E2+-2x+%2B4+=+0
x+=+%28-b+%2B-+sqrt%28+b%5E2-4%2Aa%2Ac+%29%29%2F%282%2Aa%29+
x+=+%28-%28-2%29+%2B-+sqrt%28+%28-2+%29%5E2-4%2A7%2A4+%29%29%2F%282%2A7%29+
x+=+%282+%2B-+sqrt%28+-108+%29%29%2F14+


4. F+=+KmM%2Fr%5E2 for r
F%2Ar%5E2=KmM
r%5E2=KmM%2FF
r=sqrt%28KmM%2FF%29
1. x%5E2+-8x%5E2+%2B+16+=0
-7x%5E2=-16
x%5E2=16%2F7