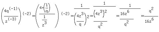
SOLUTION: Rewrite with positive exponents. Assume that even roots are of nonnegative quantities and that all denominators are nonzero. (4q^-1/z^-3)^-2
Algebra
->
Customizable Word Problem Solvers
->
Evaluation
-> SOLUTION: Rewrite with positive exponents. Assume that even roots are of nonnegative quantities and that all denominators are nonzero. (4q^-1/z^-3)^-2
Log On
Ad:
Over 600 Algebra Word Problems at edhelper.com
Word Problems: Evaluation, Substitution
Word
Solvers
Solvers
Lessons
Lessons
Answers archive
Answers
Click here to see ALL problems on Evaluation Word Problems
Question 477068
:
Rewrite with positive exponents. Assume that even roots are of
nonnegative quantities and that all denominators are nonzero.
(4q^-1/z^-3)^-2
Answer by
MathLover1(20850)
(
Show Source
):
You can
put this solution on YOUR website!