SOLUTION: F(x)=2x-3 when f (-2) f(-1) f(0) f(1) f(2) F(x)=-x^2+1 when f() equals the same as above
Algebra
->
Customizable Word Problem Solvers
->
Evaluation
-> SOLUTION: F(x)=2x-3 when f (-2) f(-1) f(0) f(1) f(2) F(x)=-x^2+1 when f() equals the same as above
Log On
Ad:
Over 600 Algebra Word Problems at edhelper.com
Word Problems: Evaluation, Substitution
Word
Solvers
Solvers
Lessons
Lessons
Answers archive
Answers
Click here to see ALL problems on Evaluation Word Problems
Question 473748
:
F(x)=2x-3 when f (-2) f(-1) f(0) f(1) f(2)
F(x)=-x^2+1 when f() equals the same as above
Answer by
MathLover1(20850)
(
Show Source
):
You can
put this solution on YOUR website!
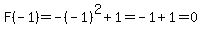
when f (-2)
f(-1)
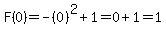
f(0)
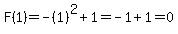
f(1)
f(2)
when f (-2)
f(-1)
f(0)
f(1)
f(2)