SOLUTION: The time between arrivals of vehicles at a particular intersection follows an exponential probability distribution with a mean of 10 seconds. What is the probability that the ar

Algebra ->  Customizable Word Problem Solvers  -> Evaluation -> SOLUTION: The time between arrivals of vehicles at a particular intersection follows an exponential probability distribution with a mean of 10 seconds. What is the probability that the ar      Log On

Ad: Over 600 Algebra Word Problems at edhelper.com


   



Question 464991: The time between arrivals of vehicles at a particular intersection follows an exponential probability distribution with a mean of 10 seconds.
What is the probability that the arrival time between vehicles is 12 seconds or less (to 4 decimals)?

What is the probability that the arrival time between vehicles is 6 seconds or less (to 4 decimals)?

What is the probability of 30 or more seconds between vehicle arrivals (to 4 decimals)?

Answer by robertb(5830) About Me  (Show Source):
You can put this solution on YOUR website!
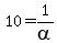
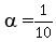
The mean of the exponential function is 10+=+1%2Falpha. ==> alpha+=+1%2F10.
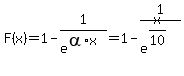
==> Cdf is F%28x%29+=+1+-+1%2Fe%5E%28alpha%2Ax%29+=+1+-+1%2Fe%5E%28x%2F10%29
==> F%2812%29+=+1+-+1%2Fe%5E%2812%2F10%29+=+1+-+1%2Fe%5E%286%2F5%29+=+0.6988
==> F%286%29+=+1+-+1%2Fe%5E%286%2F10%29+=+1+-+1%2Fe%5E%283%2F5%29+=+0.4512
==> 1+-+F%2830%29+=+1+-+%28+1+-+1%2Fe%5E%2830%2F10%29%29+=+1%2Fe%5E3+=+0.0498