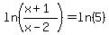
SOLUTION: Sove the logarithmic equation. ln(x+1)-ln(x-2)=ln5
Algebra
->
Customizable Word Problem Solvers
->
Evaluation
-> SOLUTION: Sove the logarithmic equation. ln(x+1)-ln(x-2)=ln5
Log On
Ad:
Over 600 Algebra Word Problems at edhelper.com
Word Problems: Evaluation, Substitution
Word
Solvers
Solvers
Lessons
Lessons
Answers archive
Answers
Click here to see ALL problems on Evaluation Word Problems
Question 366434
:
Sove the logarithmic equation.
ln(x+1)-ln(x-2)=ln5
Answer by
Fombitz(32388)
(
Show Source
):
You can
put this solution on YOUR website!