SOLUTION: One number exceeds another by 4. If three times the larger number is divided by the smaller number, the quotient is 4 and the remainder is 5. Find the numbers.

Algebra ->  Customizable Word Problem Solvers  -> Evaluation -> SOLUTION: One number exceeds another by 4. If three times the larger number is divided by the smaller number, the quotient is 4 and the remainder is 5. Find the numbers.      Log On

Ad: Over 600 Algebra Word Problems at edhelper.com


   



Question 1064576: One number exceeds another by 4. If three times the larger number is divided by the smaller number, the quotient is 4 and the remainder is 5. Find the numbers.
Found 2 solutions by josgarithmetic, MathTherapy:
Answer by josgarithmetic(39620) About Me  (Show Source):
You can put this solution on YOUR website!
x and y so that x%3Cy.

The description becomes system%28y-x=4%2C3y%2Fx=4%2B5%2Fx%29.

THE STEPS

You want to simplify the system or at least work with the fractional equation, and then use either substitution method or elimination method to find each variable. The system itself as shown above is strictly the literal translation of the description, as clearly as that.

Just your ordinary Fractions skills to deal with that fractional second equation.
LCD is just x.
MULTIPLY left and right members by x.
x%283y%2Fx%29=x%284%2B5%2Fx%29

3y=4x%2B5

Simpler system is system%28y-x=4%2C3y=4x%2B5%29.

3y=4x%2B5
3y-4x=5
-
Equivalent simpler system, system%28y-x=4%2C3y-4x=5%29

The First equation, y-x=4
y=4%2Bx
y=x%2B4
Substitute into the second equation.
3%28x%2B4%29-4x=5
3x%2B12-4x=5
3x-4x%2B12=5
-x%2B12=5
x-12=-5
x=-5%2B12
highlight_green%28x=7%29-----------Use this to find y.
Remember the step way above? y=x%2B4 ?


highlight%28system%28x=7%2Cy=11%29%29

Answer by MathTherapy(10553) About Me  (Show Source):
You can put this solution on YOUR website!
One number exceeds another by 4. If three times the larger number is divided by the smaller number, the quotient is 4 and the remainder is 5. Find the numbers.
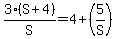
Let the smaller number be S
Then the larger is: S + 4
We then get: 3%28S+%2B+4%29%2FS+=+4+%2B+%285%2FS%29
%283S+%2B+12%29%2FS+=+%284S+%2B+5%29%2FS
3S + 12 = 4S + 5 -------- Denominators are equal, and so are the numerators
3S – 4S = 5 – 12
- S = - 7

highlight_green%28matrix%281%2C5%2C+Larger%2C+%22number%3A%22%2C+7+%2B+4%2C+or%2C+11%29%29
it is that simple....nothing COMPLEX and/or CONFUSING!!