You can put this solution on YOUR website! set = the first number
y = second number
x/y = 8/9
y-x = 10
solve for y in the second equation
add x to each side
y = x + 10
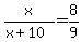
substitute x + 10 for y in x/y = 8/9
do cross products
add -8x to each side
x = 80
since x/y =8/9 with x = 80, y = 90