SOLUTION: You have a pile of coins. If you had one more penny, the number of pennies would be half the number of nickels. There is just 1 more nickel than dimes. If you had 3 more quarters t

Algebra ->  Customizable Word Problem Solvers  -> Coins -> SOLUTION: You have a pile of coins. If you had one more penny, the number of pennies would be half the number of nickels. There is just 1 more nickel than dimes. If you had 3 more quarters t      Log On

Ad: Over 600 Algebra Word Problems at edhelper.com


   



Question 802580: You have a pile of coins. If you had one more penny, the number of pennies would be half the number of nickels. There is just 1 more nickel than dimes. If you had 3 more quarters there would be as many quarters as all other coins combined. The value of the coins is $8. How many dimes?



This is all I got out of this: 1/2N=P+1, N=2P+1, D=N-1, N=D+1, D+N+P=Q+3

Answer by josmiceli(19441) About Me  (Show Source):
You can put this solution on YOUR website!
(1) +p+%2B+1+=+n%2F2+
(2) +n+=+d+%2B+1+
(3) +q+%2B+3+=+p+%2B+n+%2B+d+
(4) +1%2Ap+%2B+5n+%2B+10d+%2B+25q+=+800+ ( in cents )
---------------------------------
I can get (4) in terms of just nickels
(1) +p+=+n%2F2+-+1+
and
(2) +d+=+n+-+1+
and
(3) +q+=+p+%2B+n+%2B+d++-+3+
(3) +q+=+n%2F2+-+1+%2B+n+%2B+n+-+1+-+3+
(3) +q+=+%285n%29%2F2+-+5+
and
(4) +1%2Ap+%2B+5n+%2B+10d+%2B+25q+=+800+
(4) +n%2F2+-+1+%2B+5n+%2B+10%2A%28+n-1+%29+%2B+25%2A%28+%285n%29%2F2+-+5+%29+=+800+
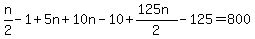
(4) +n%2F2+-+1+%2B+5n+%2B+10n+-+10+%2B+%28+125n+%29%2F2+-+125+=+800+
Multiply both sides by +2+
(4) +n+-+2+%2B+10n+%2B+20n+-+20+%2B+125n+-+250+=+1600+
(4) +156n+=+1600+%2B+2+%2B+20+%2B+250+
(4) +156n+=+1872+
(4) +n+=+12+
and
(2) +d+=+n+-+1+
(2) +d+=+12+-+1+
(2) +d+=+11+
There are 11 dimes
-----------------
check:
(1) +p+=+n%2F2+-+1+
(1) +p+=+12%2F2+-+1+
(1) +p+=+5+
and
(3) +q+=+p+%2B+n+%2B+d++-+3+
(3) +q+=+5+%2B+12+%2B+11+-+3+
(3) +q+=+25+
and
(4) +1%2Ap+%2B+5n+%2B+10d+%2B+25q+=+800+
(4) +1%2A5+%2B+5%2A12+%2B+10%2A11+%2B+25%2A25+=+800+
(4) +5+%2B+60+%2B+110+%2B+625+=+800+
(4) +800+=+800+
OK