Question 1188981: kawther saved 3 nicles today if she triples the number of niclkles she saves evry day how many days including today will it take her to save more than 700 nickles
Found 3 solutions by math_tutor2020, MathTherapy, greenestamps: Answer by math_tutor2020(3835) (Show Source):
You can put this solution on YOUR website!
Day 1 = 3 nickels
Day 2 = 9 nickels
Day 3 = 27 nickels
Day 4 = 81 nickels
Each new day, we triple the previous day's amount. Example: 9*3 = 27 when jumping from day 2 to day 3.
Let n be a positive whole number (1,2,3,...)
For day n, we have 3^n nickels.
Examples:
Day n = 2 has 3^n = 3^2 = 9 nickels
Day n = 4 has 3^n = 3^4 = 81 nickels
As you probably can notice, the sequence 3,9,27,81,... is a geometric sequence. The first term is a = 3 and the common ratio is r = 3.
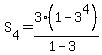
Use this formula to sum the first n terms of a geometric sequence
For example, let's sum the first 4 days worth of nickels.

Then confirm it by adding the first four items mentioned at the top of this page: 3+9+27+81 = 120
This example helps show the formula works. I encourage you to try other values of n.
The goal is to somehow get to be more than 700.
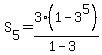
We can try n = 5

which unfortunately doesn't work. If you tried n = 6, then you should find that which fits the goal. I'll leave those steps for you.
Sure enough,
Day 1 = 3 nickels
Day 2 = 9 nickels
Day 3 = 27 nickels
Day 4 = 81 nickels
Day 5 = 243 nickels
Day 6 = 729 nickels
3+9+27+81+243+729 = 1092
which confirms is correct
Answer: 6 days
Answer by MathTherapy(10806) (Show Source): Answer by greenestamps(13327) (Show Source):
You can put this solution on YOUR website!
The formula for the sum of a finite number of terms of a geometric series is something you should know and be able to use.
However, for a problem like this, with a small number of terms and "nice" numbers, the fastest path to the solution is to find the terms of the sequence and add them until you reach the goal.
day # today total #
------------------------
1 3 3
2 9 12
3 27 39
4 81 120
5 243 363
6 729 1092
The first day when the total is greater than 700 is day 6.
ANSWER: 6
|
|
|