SOLUTION: Peter has 22 coins, all dimes and quarters, whose total value is $4.30. How many of each kind does he have?

Algebra ->  Customizable Word Problem Solvers  -> Coins -> SOLUTION: Peter has 22 coins, all dimes and quarters, whose total value is $4.30. How many of each kind does he have?      Log On

Ad: Over 600 Algebra Word Problems at edhelper.com


   



Question 1063667: Peter has 22 coins, all dimes and quarters, whose total value is $4.30. How many of each kind does he have?
Answer by josgarithmetic(39627) About Me  (Show Source):
You can put this solution on YOUR website!
d for dimes
q for quarters
system%280.1d%2B0.25q=4.30%2Cd%2Bq=22%29

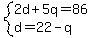
system%282d%2B5q=86%2Cd=22-q%29

2%2822-q%29%2B5q=86

44-2q%2B5q=86

3q=42

system%28q=14%2Cd=8%29