SOLUTION: in an office there was a small cash box. one day ann took half of the money plus one dollar more . then dan took half of the remaining money plus one dollar more.Stan took the rema

Algebra ->  Customizable Word Problem Solvers  -> Coins -> SOLUTION: in an office there was a small cash box. one day ann took half of the money plus one dollar more . then dan took half of the remaining money plus one dollar more.Stan took the rema      Log On

Ad: Over 600 Algebra Word Problems at edhelper.com


   



Question 1054205: in an office there was a small cash box. one day ann took half of the money plus one dollar more . then dan took half of the remaining money plus one dollar more.Stan took the remaining 11 dollars. how many dollars were originally in the box?
Found 3 solutions by josgarithmetic, MathTherapy, ikleyn:
Answer by josgarithmetic(39623) About Me  (Show Source):
You can put this solution on YOUR website!
d dollars originally in the box.

Ann:
d-d%2F2-1
Simplifying NOW is best.
2d%2F2-d%2F2-1%2F2
%28d-1%29%2F2

Dan:
%28d-1%29%2F2-%281%2F2%29%28d-1%29%2F2-1
-
Again, simplify this NOW.
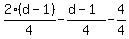
%28d-1%29%2F2-%28d-1%29%2F4-4%2F4
2%28d-1%29%2F4-%28d-1%29%2F4-4%2F4
%28%28d-1%29-4%29%2F4
%28d-5%29%2F4


Stan:
Took what remained, which was 11 dollars.
highlight_green%28%28d-5%29%2F4=11%29

Answer by MathTherapy(10555) About Me  (Show Source):
You can put this solution on YOUR website!
in an office there was a small cash box. one day ann took half of the money plus one dollar more . then dan took half of the remaining money plus one dollar more.Stan took the remaining 11 dollars. how many dollars were originally in the box?
Original amount in box: highlight_green%28%22%2450%22%29
Pay no ATTENTION to the other person's post. He's just on here trying to confuse everyone, including himself. You will never be able to understand anything
that this person posts, so just act as if that post DOESN'T exist! I'm surprised that his post didn't include 10, 12, or maybe 20 DIFFERENT VARIABLES.

Answer by ikleyn(52835) About Me  (Show Source):
You can put this solution on YOUR website!
.
The solution by "josgarithmetic" is wrong.