SOLUTION: Two Years ago, a boy was 5/4 as old as his sister, In 13 years he will be 10/9 as old as his sister. How Old is the boy?
Algebra
->
Customizable Word Problem Solvers
->
Age
-> SOLUTION: Two Years ago, a boy was 5/4 as old as his sister, In 13 years he will be 10/9 as old as his sister. How Old is the boy?
Log On
Ad:
Over 600 Algebra Word Problems at edhelper.com
Word Problems: Age
Word
Solvers
Solvers
Lessons
Lessons
Answers archive
Answers
Click here to see ALL problems on Age Word Problems
Question 984157
:
Two Years ago, a boy was 5/4 as old as his sister, In 13 years he will be 10/9 as old as his sister. How Old is the boy?
Answer by
josgarithmetic(39618)
(
Show Source
):
You can
put this solution on YOUR website!
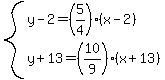
x, the sister
y, the boy
Goal is solve for y.
17