SOLUTION: Please help me solve this age problems. 1.Erwin is 12 years older than his cousin Stewart. Seven years from now, Stewart will be 5/9 as old as Erwin. How old is Erwin? 2.At pre

Algebra ->  Customizable Word Problem Solvers  -> Age -> SOLUTION: Please help me solve this age problems. 1.Erwin is 12 years older than his cousin Stewart. Seven years from now, Stewart will be 5/9 as old as Erwin. How old is Erwin? 2.At pre      Log On

Ad: Over 600 Algebra Word Problems at edhelper.com


   



Question 971978: Please help me solve this age problems.
1.Erwin is 12 years older than his cousin Stewart. Seven years from now, Stewart will be 5/9 as old as Erwin. How old is Erwin?
2.At present, Lester’s age is 30% of his mother, Lisa’s age. Twenty years from now, his age will be 58% that of his mother’s age. How old is Lester?

Answer by josgarithmetic(39618) About Me  (Show Source):
You can put this solution on YOUR website!
1:

e and s;
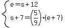
system%28e=s%2B12%2Cs%2B7=%285%2F9%29%28e%2B7%29%29

9s%2B63=5e%2B35

9s%2B63=5%28s%2B12%29%2B35----------solve this for s...