SOLUTION: Bill and Ben have combined ages of 91. If bill is twice as old as Ben was when bill was as old as Ben, find their present ages.

Algebra ->  Customizable Word Problem Solvers  -> Age -> SOLUTION: Bill and Ben have combined ages of 91. If bill is twice as old as Ben was when bill was as old as Ben, find their present ages.      Log On

Ad: Over 600 Algebra Word Problems at edhelper.com


   



Question 825583: Bill and Ben have combined ages of 91. If bill is twice as old as Ben was when bill was as old as Ben, find their present ages.
Answer by Edwin McCravy(20060) About Me  (Show Source):
You can put this solution on YOUR website!
Bill and Ben have combined ages of 91. If Bill is twice as old as Ben was when bill was as old as Ben is now, find their present ages.
Let Bill's present age = w.

Let Ben's present age = x

Bill and Ben have combined ages of 91.
So we have the equation:

        w + x = 91

Bill now is twice as old as Ben was...
Stop there for a moment!  The word "was" tells us we 
are talking about a certain number of years in the past.
Let y = that number of years ago.

Bill's present age = 2 times Ben's age y years ago, which was x-y.
So we have the equation:

       w = 2(x-y)

...when Bill was as old as Ben is now.
So y years ago Bill was w-y and that must equal Ben's age now, x.
So we have the equation:

      w-y = x

So we have a system of three equations in three unknowns:

     system%28w+%2B+x+=+91%2Cw+=+2%28x-y%29%2C+w-y+=+x%29

Substitute (w-y) for x in the first two:

     system%28w+%2B+%28w-y%29+=+91%2Cw+=+2%28%28w-y%29-y%29%29

Simplify

     system%28w+%2B+w-y+=+91%2Cw+=+2%28w-y-y%29%29

Simplify further:

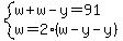
     system%282w-y+=+91%2Cw+=+2%28w-2y%29%29

Simplify further:

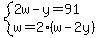
     system%282w-y+=+91%2Cw+=+2w-4y%29

Simplify further:

     system%282w-y+=+91%2C4y+=+w%29

Substitute 4y for w in the first equation:

       2(4y)-y = 91
          8y-y = 91
            7y = 91
             y = 13

Substitute 13 for y in 

            4y = w
         4(13) = w
            52 = w

Substitute 52 for w and 13 for y in
 
           w-y = x
         52-13 = x
            39 = x

So Bill is 52, Ben is 39.  [The number of years ago = 13] 

Checking: Their ages add to 91, 52+39=91. 

And, 13 years ago, Ben was 39 and Bill was 26. So back then
Bill was Ben's present age of 39, and Ben was half of Bill's 
present age of 52.

Edwin