SOLUTION: i dont understnad this question it is about direct varaitons can you please help me out If y = negative 4 when x=10, find y when x = 2 can you please help me with this im a

Algebra ->  Customizable Word Problem Solvers  -> Age -> SOLUTION: i dont understnad this question it is about direct varaitons can you please help me out If y = negative 4 when x=10, find y when x = 2 can you please help me with this im a      Log On

Ad: Over 600 Algebra Word Problems at edhelper.com


   



Question 686829: i dont understnad this question it is about direct varaitons can you please help me out
If y = negative 4 when x=10, find y when x = 2
can you please help me with this im am not understanding this thanks

Answer by josmiceli(19441) About Me  (Show Source):
You can put this solution on YOUR website!
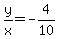
the 1st part says +y%2Fx+=+-4%2F10+
Then it says +-4%2F10+=+y%2F2+
Multiply both sides by +20+
+-8+=+10y+
+y+=+-4%2F5+