Mary is 24.
Mary is twice as old as Ann was, when Mary was as old as Ann
is now.
How old is Ann?
Let A = Ann's age now
Let y = the number of years ago it was when Mary was Ann's present age, or A.
Then y years ago, Mary was 24-y and she was also A, so we set those equal:
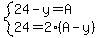
24-y = A
Also y years ago, Ann was A-y, and Mary's age now, 24, is twice this, so
24 = 2(A-y)
So that is the system of equations:
Solve that system by substitution and get A = 18 and y=6
Answer: Ann is 18.
Checking: Ann is now 18. Mary is now 24, so 6 years ago Mary was 18, which
is Ann's age now. That checks. 6 years ago Ann was 12. Since Mary's age now
is 24, she is indeed twice as old as Ann was 6 years ago. So the answer is correct.
Edwin