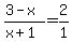
SOLUTION: determine the value of x: (3-x):(x+1) = 2:1
Algebra
->
Customizable Word Problem Solvers
->
Age
-> SOLUTION: determine the value of x: (3-x):(x+1) = 2:1
Log On
Ad:
Over 600 Algebra Word Problems at edhelper.com
Word Problems: Age
Word
Solvers
Solvers
Lessons
Lessons
Answers archive
Answers
Click here to see ALL problems on Age Word Problems
Question 451904
:
determine the value of x:
(3-x):(x+1) = 2:1
Answer by
robertb(5830)
(
Show Source
):
You can
put this solution on YOUR website!
==> 3-x = 2(x+1)
==> 3-x = 2x + 2
==> 1 = 3x
==> x = 1/3