SOLUTION: Olivia, Newt, and John were each born 3 years apart, with Olivia the youngest and john the oldest. The sum of the squares of their ages is 606. How old is each?

Algebra ->  Customizable Word Problem Solvers  -> Age -> SOLUTION: Olivia, Newt, and John were each born 3 years apart, with Olivia the youngest and john the oldest. The sum of the squares of their ages is 606. How old is each?      Log On

Ad: Over 600 Algebra Word Problems at edhelper.com


   



Question 131561: Olivia, Newt, and John were each born 3 years apart, with Olivia the youngest and john the oldest. The sum of the squares of their ages is 606. How old is each?
Answer by josmiceli(19441) About Me  (Show Source):
You can put this solution on YOUR website!
o= Olivia's age now
n= Newton's age now
j= John's age now
o+%2B+3+=+n
o+%2B+6+=+j
o%5E2+%2B+n%5E2+%2B+j%5E2+=+606
Now make substitutions
o%5E2+%2B+%28o+%2B+3%29%5E2+%2B+%28o+%2B+6%29%5E2+=+606
o%5E2+%2B+o%5E2+%2B+6o+%2B+9+%2B+o%5E2+%2B+12o+%2B+36+=+606
3o%5E2+%2B+18o+%2B+45+=+606
3o%5E2+%2B+18o+-+561+=+0
divide both sides by 3
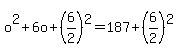
o%5E2+%2B+6o+-+187+=+0
solve bu completing the square
o%5E2+%2B+6o+%2B+%286%2F2%29%5E2+=+187+%2B+%286%2F2%29%5E2
o%5E2+%2B+6o+%2B+9+=+196
%28o+%2B+3%29%5E2+=+196
o+%2B+3+=+14 (there is a negative sqrt%28196%29 also,
but it makes no sense to use it in this problem
o+=+11
o+%2B+3+=+n
n+=+11+%2B+3
n+=+14
o+%2B+6+=+j
j+=+11+%2B+6
j+=+17
Their ages are 11, 14, and 17
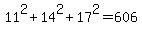
check:
o%5E2+%2B+n%5E2+%2B+j%5E2+=+606
11%5E2+%2B+14%5E2+%2B+17%5E2+=+606
121+%2B+196+%2B+289+=+606
606+=+606
OK