SOLUTION: Angel is 2 years older than Gavin. In 6 years, Gavin’s age will be twice Angel’s age now. How old are they 6 years from now? presentation: Equa

Algebra ->  Customizable Word Problem Solvers  -> Age -> SOLUTION: Angel is 2 years older than Gavin. In 6 years, Gavin’s age will be twice Angel’s age now. How old are they 6 years from now? presentation: Equa      Log On

Ad: Over 600 Algebra Word Problems at edhelper.com


   



Question 1177525: Angel is 2 years older than Gavin. In 6 years, Gavin’s age will be twice Angel’s age now.
How old are they 6 years from now?
presentation:


Equation:
Solution


Conclusion:

Answer by josgarithmetic(39620) About Me  (Show Source):
You can put this solution on YOUR website!
-------------------------------------------------------------------------
Angel is 2 years older than Gavin. In 6 years, Gavin’s age will be twice Angel’s age now.
How old are they 6 years from now?
------------------------------------------------------------------------

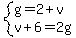
g for anGel
v for gaVin

system%28g=2%2Bv%2Cv%2B6=2g%29
.

.

.