SOLUTION: Five years ago Barbra was four-fifths Bill's age then. In ten years she will be seven-eights his age then.

Algebra ->  Customizable Word Problem Solvers  -> Age -> SOLUTION: Five years ago Barbra was four-fifths Bill's age then. In ten years she will be seven-eights his age then.       Log On

Ad: Over 600 Algebra Word Problems at edhelper.com


   



Question 1173031: Five years ago Barbra was four-fifths Bill's age then. In ten years she will be
seven-eights his age then.

Found 4 solutions by ikleyn, Edwin McCravy, josgarithmetic, greenestamps:
Answer by ikleyn(52788) About Me  (Show Source):
Answer by Edwin McCravy(20056) About Me  (Show Source):
You can put this solution on YOUR website!
Five years ago Barbra was four-fifths Bill's age then. In ten years she will be
seven-eights his age then.
You omitted the question which obviously was "How old are they now?"  Ikleyn
gets all bent outta shape when students leave out anything.  I don't.  But
instead of doing your problem for you, I'll do one exactly like it step-by-
step.  Here is the problem I will do for you:
Seven years ago Barbra was two-thirds Bill's age then. In four years she will
be three-fourths his age then. How old are they now?
Let x = Barbra's age now
Let y = Bill's age now
Then x-7 = Barbra's age 7 years ago
Then y-7 = Bill's age 7 years ago
Also x+4 = Barbra's age 4 years from now
Also y+4 = Bill's age 4 years from now
Seven years ago Barbra was two-thirds Bill's age then.

x-7+=+expr%282%2F3%29%28y-7%29
In four years she will be three-fourths his age then.
 

x%2B4+=+expr%283%2F4%29%28x%2B4%29

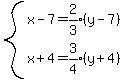
The system you are to solve is

system%28x-7+=+expr%282%2F3%29%28y-7%29%2Cx%2B4+=+expr%283%2F4%29%28y%2B4%29%29

Multiply the first equation through by 3 and the second one through by 4 to
clear the fractions:

system%283x-21+=+2%28y-7%29%2C4x%2B16+=+3%28y%2B4%29%29

Distribute the right sides:

system%283x-21+=+2y-14%2C4x%2B16+=+3y%2B12%29

Rearrange the terms:

system%283x-2y=7%2C4x-3y=-4%29

To eliminate y, multiply the first equation by -3 and the second equation by 2:

system%28-9x%2B6y=-21%2C8x-6y=-8%29

Add term-by-term to eliminate the y-terms

-x=-29
x=29, So Barbra is 29    

Substitute in 

3x-2y=7%29
3%2829%29-2y=7%29
87-2y=7
-2y=-80
y=40, so Bill is 40.

Checking:
Seven years ago Barbra was 29-7=22
Seven years ago Bill was 40-7=33
Indeed, 22 is 2/3 of 33.  That checks.

In four years, Barbra will be 29+4=33
In four years, Bill will be 40+4=44
Indeed, 33 is 3/4 of 44.  That checks.

Now do your problem the exact same way step by step, using this as a guide.

Edwin

Answer by josgarithmetic(39618) About Me  (Show Source):
You can put this solution on YOUR website!
The description if x for Barbara and y for Bill, gives a system
system%28x-5=%284%2F5%29%28y-5%29%2Cx%2B10=%287%2F8%29%28y%2B10%29%29

Solving the system will either give results that make sense, or not.

Answer by greenestamps(13200) About Me  (Show Source):
You can put this solution on YOUR website!


The responses from the other tutors use what is probably the algebraic method typically seen in textbooks to find the answer. Here is an alternative that I find makes finding the answer easier.

Given that 5 years ago Barbra was 4/5 of Bill's age, let their ages 5 years ago be 4x and 5x.

"10 years from now" is 15 years after "5 years ago"; so their ages 10 years from now will be 4x+15 and 5x+15.

The ratio of their ages then will be 7/8:

%284x%2B15%29%2F%285x%2B15%29+=+7%2F8
8%284x%2B15%29+=+7%285x%2B15%29
32x%2B120+=+35x%2B105
3x=15
x=5

Their ages 5 years ago were:
Barbra: 4x = 20
Bill: 5x = 25

So their current ages are 25 and 30.

Their ages 10 years from now will be 35 and 40 -- a ratio of 7:8.