SOLUTION: In 4 years Cranston's age will be the same as Terills's age now. In 2 years, Terrill will be twice as old as Cranston. Find their ages now.

Algebra ->  Customizable Word Problem Solvers  -> Age -> SOLUTION: In 4 years Cranston's age will be the same as Terills's age now. In 2 years, Terrill will be twice as old as Cranston. Find their ages now.       Log On

Ad: Over 600 Algebra Word Problems at edhelper.com


   



Question 1169276: In 4 years Cranston's age will be the same as Terills's age now. In 2 years, Terrill will be twice as old as Cranston. Find their ages now.

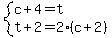
Answer by josgarithmetic(39618) About Me  (Show Source):