SOLUTION: In fifteen years, Nelson will be 6/7 as old as his cousin will be. Today, Nelson is 3/4 as old as his cousin. How old is Nelson now?

Algebra ->  Customizable Word Problem Solvers  -> Age -> SOLUTION: In fifteen years, Nelson will be 6/7 as old as his cousin will be. Today, Nelson is 3/4 as old as his cousin. How old is Nelson now?       Log On

Ad: Over 600 Algebra Word Problems at edhelper.com


   



Question 1169078: In fifteen years, Nelson will be 6/7 as old as his cousin will be. Today, Nelson is 3/4 as old as his cousin. How old is Nelson now?

Answer by josgarithmetic(39618) About Me  (Show Source):
You can put this solution on YOUR website!
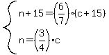
If using n for Nelson and c for his Cousin, then following the description literally will give you system%28n%2B15=%286%2F7%29%28c%2B15%29%2Cn=%283%2F4%29c%29. Solve the system.

Method to try: Substitute for n in the first equation. Multiply both sides by the lowest common denominator of 4%2A7=28, and simplify. Solve for d, fist and use it to evaluate n.

A few steps of algebra will show you c=20 and highlight%28n=15%29.

--

Your "Thank You" message asks an identical type as this one here. Learn from this one and solve the other one yourself.