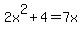
SOLUTION: Solve 2x^2+ 4=7x

Algebra ->  Customizable Word Problem Solvers  -> Age -> SOLUTION: Solve 2x^2+ 4=7x      Log On

Ad: Over 600 Algebra Word Problems at edhelper.com


   



Question 1157581: Solve 2x^2+ 4=7x
Answer by MathLover1(20850) About Me  (Show Source):
You can put this solution on YOUR website!

2x%5E2%2B+4=7x
2x%5E2-7x%2B+4=0......use quadratic formula
x+=+%28-b+%2B-+sqrt%28+b%5E2-4%2Aa%2Ac+%29%29%2F%282%2Aa%29+
x+=+%28-%28-7%29+%2B-+sqrt%28%28-7%29%5E2-4%2A2%2A4+%29%29%2F%282%2A2%29+
x+=+%287+%2B-+sqrt%2849-32+%29%29%2F4+
x+=+%287+%2B-+sqrt%2817+%29%29%2F4+
x+=+%287%2F4+%2B-+sqrt%2817+%29%2F4%29+

solutions:
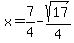
x+=+7%2F4+%2B+sqrt%2817+%29%2F4+
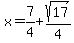
x+=+7%2F4+-+sqrt%2817+%29%2F4+