SOLUTION: my grandson is about as many days as my daughter in weeks and my grandson is as many months as I am am in years. My grandson,my daughter and I together are 120years.tell me my age

Algebra ->  Customizable Word Problem Solvers  -> Age -> SOLUTION: my grandson is about as many days as my daughter in weeks and my grandson is as many months as I am am in years. My grandson,my daughter and I together are 120years.tell me my age       Log On

Ad: Over 600 Algebra Word Problems at edhelper.com


   



Question 1129885: my grandson is about as many days as my daughter in weeks and my grandson is as many months as I am am in years. My grandson,my daughter and I together are 120years.tell me my age in years
Answer by greenestamps(13327) About Me  (Show Source):
You can put this solution on YOUR website!


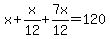
Let the man's age in years be x.

His grandson's age in months is the same as the man's age in years. Since there are 12 months in a year, the grandson's age in years is x/12.

His daughter's age in weeks is the same as his grandson's age in days. Since there are 7 days in a week, the daughter's age is 7(x/12).

The sum of their ages is 120 years:

x+%2B+x%2F12+%2B+7x%2F12+=+120
%2812x%2Bx%2B7x%29%2F12+=+120
20x+=+1440
x+=+72

ANSWER: The man's age is 72 years.

The problem doesn't ask for the ages of his daughter and grandson; they are x/12 = 6 for the grandson and 7x/12 = 42 for the daughter. As a check, see that 72+42+6 = 120, as required.