SOLUTION: Doris is 3 years older than her sister and in 2 years her age will be three times what her sister's age was last year. Find their present ages.

Algebra ->  Customizable Word Problem Solvers  -> Age -> SOLUTION: Doris is 3 years older than her sister and in 2 years her age will be three times what her sister's age was last year. Find their present ages.      Log On

Ad: Over 600 Algebra Word Problems at edhelper.com


   



Question 1120929: Doris is 3 years older than her sister and in 2 years her age will be three times what her sister's age was last year. Find their present ages.
Answer by josgarithmetic(39618) About Me  (Show Source):
You can put this solution on YOUR website!
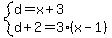
d, Doris
x, Sister

system%28d=x%2B3%2Cd%2B2=3%28x-1%29%29
-
x%2B3%2B2=3x-3
x%2B5=3x-3
8=2x
highlight%28x=4%29
-
highlight%28d=7%29