SOLUTION: A mas is 21 years older than his son. 5 years ago he was four times as old as his son. What are their ages now? a. Write a system of two equations whose solution will provide the

Algebra ->  Customizable Word Problem Solvers  -> Age -> SOLUTION: A mas is 21 years older than his son. 5 years ago he was four times as old as his son. What are their ages now? a. Write a system of two equations whose solution will provide the      Log On

Ad: Over 600 Algebra Word Problems at edhelper.com


   



Question 1119900: A mas is 21 years older than his son. 5 years ago he was four times as old as his son. What are their
ages now?
a. Write a system of two equations whose solution will provide the answer to the question.
b. Solve that system of equations using the method of elimination or the method of substitution.
Show all relevant working.

Answer by josgarithmetic(39620) About Me  (Show Source):
You can put this solution on YOUR website!
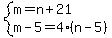
m, Man
n, soN

system%28m=n%2B21%2Cm-5=4%28n-5%29%29
-
n%2B21-5=4n-20 substitution
n%2B16=4n-20
36=3n
highlight%28n=12%29
-
highlight%28m=33%29