SOLUTION: The sum of ages of Mr tan and his son david is 61 years. Tbe difference in their ages is 29.How old is david? How old will Mr Tan be when david is 21 years old
An aunt is four
Algebra ->
Customizable Word Problem Solvers
-> Age
-> SOLUTION: The sum of ages of Mr tan and his son david is 61 years. Tbe difference in their ages is 29.How old is david? How old will Mr Tan be when david is 21 years old
An aunt is four
Log On
Question 1115397: The sum of ages of Mr tan and his son david is 61 years. Tbe difference in their ages is 29.How old is david? How old will Mr Tan be when david is 21 years old
An aunt is four times as old as her nephew in 8 years time the aunt will only be 2 1/2 times as old as the nephew.How old is the aunt now?
The sum of ages of mother and her daughter is 60 years .2 years ago the mother was eight times as ol as her daughter.How old is daughter now.
Robert is three times old as catherine.In eight years time the ratio of their ages will be 2:1.How old us catherine now? Answer by josgarithmetic(39799) (Show Source):
You can put this solution on YOUR website! ------------------------------------------------------------
An aunt is four times as old as her nephew in 8 years time the aunt will only be 2 1/2 times as old as the nephew.How old is the aunt now?
--------------------------------------------------------------
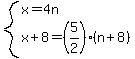
x, Aunt
n, Nephew
-
-
----------------------------------------------------------
The sum of ages of mother and her daughter is 60 years . Two years ago the mother was eight times as old as her daughter. How old is daughter now.
----------------------------------------------------------