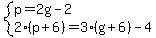
SOLUTION: Peters current age is two years less than twice Greg’s current age. In 6 years, two times Peters age will be four less than three times Greg’s age. What is peters current age ?
Algebra ->
Customizable Word Problem Solvers
-> Age
-> SOLUTION: Peters current age is two years less than twice Greg’s current age. In 6 years, two times Peters age will be four less than three times Greg’s age. What is peters current age ?
Log On
Question 1112002: Peters current age is two years less than twice Greg’s current age. In 6 years, two times Peters age will be four less than three times Greg’s age. What is peters current age ? Answer by josgarithmetic(39632) (Show Source):