SOLUTION: A teacher has two students, one two times as old as the other. The teacher is five times as old as the older student, and in 5 years she will be five times as old as her younger st

Algebra ->  Customizable Word Problem Solvers  -> Age -> SOLUTION: A teacher has two students, one two times as old as the other. The teacher is five times as old as the older student, and in 5 years she will be five times as old as her younger st      Log On

Ad: Over 600 Algebra Word Problems at edhelper.com


   



Question 1108850: A teacher has two students, one two times as old as the other. The teacher is five times as old as the older student, and in 5 years she will be five times as old as her younger student. Find the teacher’s present age.
Answer by josgarithmetic(39623) About Me  (Show Source):
You can put this solution on YOUR website!
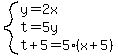
x, younger
t, teacher
y, older

system%28y=2x%2Ct=5y%2Ct%2B5=5%28x%2B5%29%29