SOLUTION: In 5 years times a father will be twice as old as his son will be. 4 years ago he was three times as old as his son was. find their present ages.

Algebra ->  Customizable Word Problem Solvers  -> Age -> SOLUTION: In 5 years times a father will be twice as old as his son will be. 4 years ago he was three times as old as his son was. find their present ages.      Log On

Ad: Over 600 Algebra Word Problems at edhelper.com


   



Question 1107149: In 5 years times a father will be twice as old as his son will be. 4 years ago he was three times as old as his son was. find their present ages.
Answer by josgarithmetic(39623) About Me  (Show Source):
You can put this solution on YOUR website!
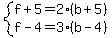
f, Father
b, his Boy
system%28f%2B5=2%28b%2B5%29%2Cf-4=3%28b-4%29%29

system%28highlight%28b=13%29%2Cand%2Chighlight%28f=31%29%29