SOLUTION: the sum of ages of two sisters is 38years.four years ago the age of the elder sister was the square of the younger sister 's age.Find their ages?

Algebra ->  Customizable Word Problem Solvers  -> Age -> SOLUTION: the sum of ages of two sisters is 38years.four years ago the age of the elder sister was the square of the younger sister 's age.Find their ages?       Log On

Ad: Over 600 Algebra Word Problems at edhelper.com


   



Question 1106629: the sum of ages of two sisters is 38years.four years ago the age of the elder sister was the square of the younger sister 's age.Find their ages?
Answer by josgarithmetic(39799) About Me  (Show Source):
You can put this solution on YOUR website!
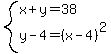
system%28x%2By=38%2Cy-4=%28x-4%29%5E2%29

38-x-4=x%5E2-8x%2B16
-x%2B34=x%5E2-8x%2B16
x%5E2-7x%2B16-34=0
x%5E2-7x-18=0
%28x-9%29%28x%2B2%29=0
highlight%28x=9%29--------younger sister

highlight%28y=29%29-------older sister

-
recheck
29-4=%289-4%29%5E2
25=5%5E2
ok