SOLUTION: Jenny is 15 years older than her brother Charles. In ten years, Charles will be 2/3 Jenny's age. How old are Charles and Jenny now?
Algebra
->
Customizable Word Problem Solvers
->
Age
-> SOLUTION: Jenny is 15 years older than her brother Charles. In ten years, Charles will be 2/3 Jenny's age. How old are Charles and Jenny now?
Log On
Ad:
Over 600 Algebra Word Problems at edhelper.com
Word Problems: Age
Word
Solvers
Solvers
Lessons
Lessons
Answers archive
Answers
Click here to see ALL problems on Age Word Problems
Question 1102692
:
Jenny is 15 years older than her brother Charles. In ten years, Charles will be 2/3 Jenny's age. How old are Charles and Jenny now?
Found 2 solutions by
josgarithmetic, greenestamps
:
Answer by
josgarithmetic(39799)
(
Show Source
):
You can
put this solution on YOUR website!
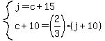
-
-
Answer by
greenestamps(13334)
(
Show Source
):
You can
put this solution on YOUR website!
At least for the sake of age problems like this, Jenny will always be 15 years older than Charles.
When Charles is 2/3 of Jenny's age, the age difference of 15 years means Charles will be 30 and Jenny will be 45.
That will happen 10 years from now; so now Charles is 20 and Jenny is 35.