SOLUTION: Cary is 7 years older than Dan. In 3 years the sum of their ages will be 83. Find the age of each man now.
Algebra
->
Customizable Word Problem Solvers
->
Age
-> SOLUTION: Cary is 7 years older than Dan. In 3 years the sum of their ages will be 83. Find the age of each man now.
Log On
Ad:
Over 600 Algebra Word Problems at edhelper.com
Word Problems: Age
Word
Solvers
Solvers
Lessons
Lessons
Answers archive
Answers
Click here to see ALL problems on Age Word Problems
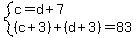
Question 1095917
:
Cary is
7 years older than Dan. In
3 years the sum of their ages will be
83. Find the age of each man now.
Answer by
josgarithmetic(39620)
(
Show Source
):
You can
put this solution on YOUR website!
-