Question 1074535: ray's birthday is 8 more than 4 times the number of days from today than Jane's birthday. If Ray's birthday is 24 days from today, how many days until Jane's birthday?
Answer by KMST(5328) (Show Source):
You can put this solution on YOUR website! = number of days until Jane's birthday
, which is 8 more than 4 times ,
is the number of days until Ray's birthday,
and that number is .
So, your equation is
.
The number that is is what you want to find,
but it has been wrapped up
in that expression to the left of the equal sign.
First, was multiplied times ,
and then for a second layer of wrap, was added to that.
To unwrap , you start by removing the outer layer,
the one that was applied last.
So, you add a to both sides.
(If you want, you could say you are subtracting from both sides).
You get ,
which simplifies to .
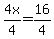
Then, you undo the multiplication times 
by dividing both sides of the equal sign by to get
, which simplifies to .
There are days until Jane's birthday.
|
|
|