SOLUTION: ann's age is seven-tenths of bill's age. in 4 years, ann's age will be eight-elevenths of bill's age. how old is bill? please show how to correctly form and solve the equation

Algebra ->  Customizable Word Problem Solvers  -> Age -> SOLUTION: ann's age is seven-tenths of bill's age. in 4 years, ann's age will be eight-elevenths of bill's age. how old is bill? please show how to correctly form and solve the equation      Log On

Ad: Over 600 Algebra Word Problems at edhelper.com


   



Question 1068799: ann's age is seven-tenths of bill's age. in 4 years, ann's age will be eight-elevenths of bill's age. how old is bill? please show how to correctly form and solve the equation
Found 2 solutions by josgarithmetic, MathTherapy:
Answer by josgarithmetic(39618) About Me  (Show Source):
You can put this solution on YOUR website!
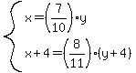
x, Ann
y, Bill

system%28x=%287%2F10%29y%2Cx%2B4=%288%2F11%29%28y%2B4%29%29

%287%2F10%29y%2B4=%288%2F11%29%28y%2B4%29

77y%2B440=80y%2B320
440-320=80y-77y
120=3y
highlight%28y=40%29, Bill's age

Answer by MathTherapy(10552) About Me  (Show Source):
You can put this solution on YOUR website!

ann's age is seven-tenths of bill's age. in 4 years, ann's age will be eight-elevenths of bill's age. how old is bill? please show how to correctly form and solve the equation
Bill is: highlight_green%28matrix%281%2C2%2C+40%2C+years-old%29%29
Ignore all other GARBAGE answers. I didn't even know that people lived to be 120 YEARS-OLD! Wow!!