SOLUTION: Freddy is 4 years older than 8 times his grandson's age. The sum of their ages is greater than 67. What is the youngest age Freddy's grandson can be?

Algebra ->  Customizable Word Problem Solvers  -> Age -> SOLUTION: Freddy is 4 years older than 8 times his grandson's age. The sum of their ages is greater than 67. What is the youngest age Freddy's grandson can be?      Log On

Ad: Over 600 Algebra Word Problems at edhelper.com


   



Question 1050343: Freddy is 4 years older than 8 times his grandson's age. The sum of their ages is greater than 67.
What is the youngest age Freddy's grandson can be?

Answer by josgarithmetic(39620) About Me  (Show Source):
You can put this solution on YOUR website!
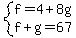
The description: system%28f=4%2B8g%2Cf%2Bg=67%29

The question: What? The question is about order relation?



--
(comment removed)
--

Do you understand how the variables were assigned?
Can you understand the correspondence between the description and the equations?
Can you solve the system?