SOLUTION: six years ago elliot was half as old as george. 6 years from now elliot will be four-fifths as old as george. how old are they now?

Algebra ->  Customizable Word Problem Solvers  -> Age -> SOLUTION: six years ago elliot was half as old as george. 6 years from now elliot will be four-fifths as old as george. how old are they now?      Log On

Ad: Over 600 Algebra Word Problems at edhelper.com


   



Question 1048759: six years ago elliot was half as old as george. 6 years from now elliot will be four-fifths as old as george. how old are they now?
Found 2 solutions by josgarithmetic, MathTherapy:
Answer by josgarithmetic(39620) About Me  (Show Source):
You can put this solution on YOUR website!
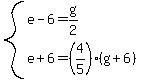
ASSIGN VARIABLES TO EACH PERSON
Elliot, e
George, g
which are their current ages


SETUP EQUATIONS
Translate literally from description into equations:
system%28e-6=g%2F2%2Ce%2B6=%284%2F5%29%28g%2B6%29%29


SOLVE SYSTEM
You do this. You already know the sufficient algebra knowledge for this.

Answer by MathTherapy(10552) About Me  (Show Source):
You can put this solution on YOUR website!

six years ago elliot was half as old as george. 6 years from now elliot will be four-fifths as old as george. how old are they now?