SOLUTION: Wilma is 13 years younger than Bev. In 9 years Wilma will be half as old as Bev. How old are they now? Define Variables and Write System of Equations

Algebra ->  Customizable Word Problem Solvers  -> Age -> SOLUTION: Wilma is 13 years younger than Bev. In 9 years Wilma will be half as old as Bev. How old are they now? Define Variables and Write System of Equations      Log On

Ad: Over 600 Algebra Word Problems at edhelper.com


   



Question 1020166: Wilma is 13 years younger than Bev. In 9 years Wilma will be half as old as Bev. How old are they now? Define Variables and Write System of Equations
Answer by josgarithmetic(39620) About Me  (Show Source):
You can put this solution on YOUR website!
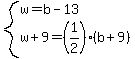
w Wilma's age
b Bev's age
system%28w=b-13%2Cw%2B9=%281%2F2%29%28b%2B9%29%29