SOLUTION: Joan <s>as</s> IS now thrice as old as jane. Six years ago, the sum of <s>them</s> THEIR AGES was 36. How old is joan now?
Algebra
->
Customizable Word Problem Solvers
->
Age
-> SOLUTION: Joan <s>as</s> IS now thrice as old as jane. Six years ago, the sum of <s>them</s> THEIR AGES was 36. How old is joan now?
Log On
Ad:
Over 600 Algebra Word Problems at edhelper.com
Word Problems: Age
Word
Solvers
Solvers
Lessons
Lessons
Answers archive
Answers
Click here to see ALL problems on Age Word Problems
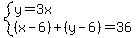
Question 1012216
:
Joan
as
IS now thrice as old as jane. Six years ago, the sum of
them
THEIR AGES was 36. How old is joan now?
Answer by
josgarithmetic(39620)
(
Show Source
):
You can
put this solution on YOUR website!