SOLUTION: a boy is ten years older than his brother. in 4 years he will be towice as old as his brother. what is the percentage age of each
Algebra
->
Customizable Word Problem Solvers
->
Age
-> SOLUTION: a boy is ten years older than his brother. in 4 years he will be towice as old as his brother. what is the percentage age of each
Log On
Ad:
Over 600 Algebra Word Problems at edhelper.com
Word Problems: Age
Word
Solvers
Solvers
Lessons
Lessons
Answers archive
Answers
Click here to see ALL problems on Age Word Problems
Question 1011472
:
a boy is ten years older than his brother. in 4 years he will be towice as old as his brother. what is the percentage age of each
Found 2 solutions by
josgarithmetic, ikleyn
:
Answer by
josgarithmetic(39618)
(
Show Source
):
You can
put this solution on YOUR website!
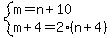
A boy, m
His brother, n
-
You find m and figure out the percents.
Answer by
ikleyn(52788)
(
Show Source
):
You can
put this solution on YOUR website!
.
The question is incorrect.
There is no such a term "the percentage age of each".
It is unknown term in the Math, including the school math.
Re-edit and resubmit, if you want to get an answer.