SOLUTION: Jason is 34 less than 3 times Brandens age. The difference between their ages is two. How old is Jason.
Algebra
->
Customizable Word Problem Solvers
->
Age
-> SOLUTION: Jason is 34 less than 3 times Brandens age. The difference between their ages is two. How old is Jason.
Log On
Ad:
Over 600 Algebra Word Problems at edhelper.com
Word Problems: Age
Word
Solvers
Solvers
Lessons
Lessons
Answers archive
Answers
Click here to see ALL problems on Age Word Problems
Question 1010942
:
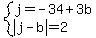
Jason is 34 less than 3 times Brandens age. The difference between their ages is two. How old is Jason.
Answer by
josgarithmetic(39620)
(
Show Source
):
You can
put this solution on YOUR website!
j and b, their ages;
Pick what makes sense.