Tutors Answer Your Questions about testmodule (FREE)
Question 2150: Hello, I am inqiring about several questions that I asked on 12 May 2005. Did you get the opportunity to look at them? Your help is greatly appreciated. Do I need to send the questions again?
Thank you for your support!
Click here to see answer by longjonsilver(2297)  |
Question 3223: Drglass, thank you for helping me with the math problem. I appreciate it so much. The math problem was regarding the fishermans. Anyway, I'm a bit confused with part c. Can you please help elaborate the solution. Thank you.
-Maria
Click here to see answer by drglass(89) |
Question 7655: Ok, I've got another question for you. What happened to the thingy where you could type in the problem and then it would give you an answer and show you how to do it??? I don't know about anyone else but that helped me out a whole lot better than this stuff!
Click here to see answer by ichudov(507)  |
Question 18210: hi, my name is lee. thank you for helping me
I would like to know how to do this word problem.
Three times and odd interger is eleven less then four times the next greatest even integer. What is the odd interger?
could you please show me the formula?
thank you
lee
Click here to see answer by josmiceli(19441)  |
Question 24784: I am having trouble with wrod problems...
The Area of the parallelogram is 96 square miles. Find its base and height.
Then it has a picture of a parallelogram with the height as (x-5) and the base as (x+5).
The formula is A=B(H)
So I tried..
96=(x+5)(x-5)
I then multiplied out..
getting x2 -5x +5x-25-96 ( because I had to get the equation equal to zero so..
x2-71 is what i got and the answer is supposed to be Base 16mi and height 6 mi but i do not understand how to get that.
Click here to see answer by stanbon(75887) |
Question 111032: Add the following lengths. Give the answer in feet and inches in its simplest form. (I am having trouble converting the mixed numbers)
6ft.7in. 47in. 9ft.11in. 13 3/4ft. 18ft.
9 2/3ft. 17in.
Example:
6' 7''
0' 47''
9' 11''
Click here to see answer by checkley71(8403) |
Question 111032: Add the following lengths. Give the answer in feet and inches in its simplest form. (I am having trouble converting the mixed numbers)
6ft.7in. 47in. 9ft.11in. 13 3/4ft. 18ft.
9 2/3ft. 17in.
Example:
6' 7''
0' 47''
9' 11''
Click here to see answer by stanbon(75887) |
Question 117593: write an equation in standard form for the given information
(9,4),m=-1/3
(-3,-1) (2,-2)
A piggy bank contains only quarters and dimes. The total value in the bank is $5.50.
write an equation in stnadard form that models the possible combinations of nickels and quarters in the piggy bank.
Click here to see answer by josmiceli(19441)  |
Question 117593: write an equation in standard form for the given information
(9,4),m=-1/3
(-3,-1) (2,-2)
A piggy bank contains only quarters and dimes. The total value in the bank is $5.50.
write an equation in stnadard form that models the possible combinations of nickels and quarters in the piggy bank.
Click here to see answer by ankor@dixie-net.com(22740)  |
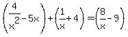
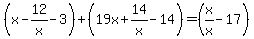
Question 124301: Please help me solve this, this is my problem my home work is asking me to. With out actually solving, to list all possible numbers that would have to be rejected if they appeared as potential solutions.
Please help me solve this, this is my problem my home work is asking me to. With out actually solving, to list all possible numbers that would have to be rejected if they appeared as potential solutions
Please help me solve this, this is my problem my home work is asking me to. With out actually solving, to list all possible numbers that would have to be rejected if they appeared as potential solutions
all of these are are a fraction plus or minus a fraction. Im not sure why when i preview them to send it moves the second part of my denominator up to look like it is added or subtracted your help would be greatly appricated to this strugling old man
Please help me solve this, this is my problem my home work is asking me to. With out actually solving, to list all possible numbers that would have to be rejected if they appeared as potential solutions
Please help me solve this, this is my problem my home work is asking me to. With out actually solving, to list all possible numbers that would have to be rejected if they appeared as potential solutions
Click here to see answer by stanbon(75887) |
Question 133619: 1.How i find smallest positive number in the A.P 500,493,486,479......
2.How I find the smallest number of terms of A.P -54,-52.5,-51,-49.5..which musr be taken for the sum of the terms to be positive.
Click here to see answer by vleith(2983) |
|
Older solutions: 1..45, 46..90, 91..135, 136..180, 181..225, 226..270, 271..315, 316..360, 361..405, 406..450, 451..495, 496..540, 541..585, 586..630, 631..675, 676..720, 721..765, 766..810, 811..855, 856..900, 901..945
|