SOLUTION: simplify: 2/x-2 - 4/(x-2)^2
Algebra
->
Testmodule
-> SOLUTION: simplify: 2/x-2 - 4/(x-2)^2
Log On
Test Module
Test
Solvers
Solvers
Lessons
Lessons
Answers archive
Answers
Click here to see ALL problems on testmodule
Question 923669
:
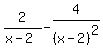
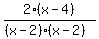
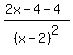
simplify:
2/x-2 - 4/(x-2)^2
Answer by
MathLover1(20855)
(
Show Source
):
You can
put this solution on YOUR website!
simplify: