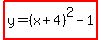
SOLUTION: Rewrite the quadratic equation in vertex form by completing the square. a.y = x2 + 8x + 15 b.y = -2x2 +12x – 7
Algebra
->
Testmodule
-> SOLUTION: Rewrite the quadratic equation in vertex form by completing the square. a.y = x2 + 8x + 15 b.y = -2x2 +12x – 7
Log On
Test Module
Test
Solvers
Solvers
Lessons
Lessons
Answers archive
Answers
Click here to see ALL problems on testmodule
Question 326482
:
Rewrite the quadratic equation in vertex form by completing the square.
a.y = x2 + 8x + 15
b.y = -2x2 +12x – 7
Answer by
Fombitz(32388)
(
Show Source
):
You can
put this solution on YOUR website!
a.
.
.
.
b.