SOLUTION: What is the quadratic Taylor polynomial about 1 for the function f(x)= sqrt x+8 The Taylor polynomial is
Algebra
->
Testmodule
-> SOLUTION: What is the quadratic Taylor polynomial about 1 for the function f(x)= sqrt x+8 The Taylor polynomial is
Log On
Test Module
Test
Solvers
Solvers
Lessons
Lessons
Answers archive
Answers
Click here to see ALL problems on testmodule
Question 1116556
:
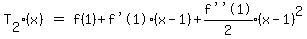
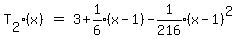
What is the quadratic Taylor polynomial about 1
for the function f(x)= sqrt x+8
The Taylor polynomial is
Answer by
Edwin McCravy(20067)
(
Show Source
):
You can
put this solution on YOUR website!
Substitute in
Edwin