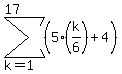
SOLUTION: Use sigma notation to write the sum. {{{ (5(1/6)+4) +(5(2/6)+4) }}} + ... + {{{ (5(17/6)+4) }}}
Algebra
->
sets and operations
-> SOLUTION: Use sigma notation to write the sum. {{{ (5(1/6)+4) +(5(2/6)+4) }}} + ... + {{{ (5(17/6)+4) }}}
Log On
sets and operations Calculators and Practice
sets
Answers archive
Answers
Word Problems
Word
Lessons
Lessons
Click here to see ALL problems on sets-and-operations
Question 1127307
:
Use sigma notation to write the sum.
+ ... +
Answer by
math_helper(2461)
(
Show Source
):
You can
put this solution on YOUR website!