SOLUTION: if 7 times the seventh term of an A.P.is equal to 11 times the eleventh term,show that the 18th term of an A.P. is zero

Algebra ->  sets and operations -> SOLUTION: if 7 times the seventh term of an A.P.is equal to 11 times the eleventh term,show that the 18th term of an A.P. is zero      Log On


   



Question 1013416: if 7 times the seventh term of an A.P.is equal to 11 times the eleventh term,show that the 18th term of an A.P. is zero
Found 2 solutions by ikleyn, MathTherapy:
Answer by ikleyn(52878) About Me  (Show Source):
You can put this solution on YOUR website!
.
if 7 times the seventh term of an A.P.is equal to 11 times the eleventh term,show that the 18th term of an A.P. is zero
------------------------------------------------------

We have 

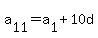
a%5B11%5D = a%5B7%5D%2B4d

It is true for any AP. You can easily check it yourself. Next, according to the condition,

7%2Aa%5B7%5D = 11%2A%28a%5B7%5D%2B4d%29.

Simplify:

0 = %2811-7%29%2Aa%5B7%5D+%2B+44d,   or

0= 4%2Aa%5B7%5D+%2B+44d,   or

0= 4%2A%28a%5B7%5D+%2B+11d%29.

It implies 

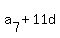
a%5B7%5D+%2B+11d = 0.

Now notice that a%5B7%5D+%2B+11d = a%5B18%5D. You can check it yourself.

Thus we conclude that

a%5B18%5D = 0.

It is what has to be proved.


Answer by MathTherapy(10556) About Me  (Show Source):
You can put this solution on YOUR website!

if 7 times the seventh term of an A.P.is equal to 11 times the eleventh term,show that the 18th term of an A.P. is zero
7th term:
a%5Bn%5D+=+a%5B1%5D%2B+%28n+-+1%29d
a%5B7%5D+=+a%5B1%5D+%2B+%287+-+1%29d
a%5B7%5D+=+a%5B1%5D+%2B+6d
11th term:
a%5Bn%5D+=+a%5B1%5D%2B+%28n+-+1%29d
a%5B11%5D+=+a%5B1%5D+%2B+%2811+-+1%29d
a%5B11%5D+=+a%5B1%5D+%2B+10d
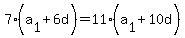
We then get: 7+%2A+%28a%5B1%5D+%2B+6d%29+=+11+%2A+%28a%5B1%5D+%2B+10d%29 ------ Equating 7 times a%5B7%5D to 11 times a%5B11%5D
7a%5B1%5D+%2B+42d+=+11a%5B1%5D+%2B+110d
11a%5B1%5D+-+7a%5B1%5D+=+42d+-+110d%29
4a%5B1%5D+=+-+68d
4a%5B1%5D%2F4+=+%28-+68d%29%2F4_______cross%284%29a%5B1%5D%2Fcross%284%29+=+%28-+17d%29%28cross%28-+68d%29%29%2Fcross%284%29
a%5B1%5D+=+-+17d
18th term:
a%5Bn%5D+=+a%5B1%5D%2B+%28n+-+1%29d
a%5B18%5D+=+-+17d+%2B+%2818+-+1%29d ------ Substituting - 17d for a%5B1%5D
a%5B18%5D+=+-+17d+%2B+17d
highlight_green%28a%5B18%5D+=+0%29 (PROVEN)