SOLUTION: What is 1.21 repeating as a fraction
Algebra
->
Real-numbers
-> SOLUTION: What is 1.21 repeating as a fraction
Log On
Algebra: Real numbers, Irrational numbers, etc
Section
Solvers
Solvers
Lessons
Lessons
Answers archive
Answers
Click here to see ALL problems on real-numbers
Question 959352
:
What is 1.21 repeating as a fraction
Found 2 solutions by
MathLover1, MathTherapy
:
Answer by
MathLover1(20850)
(
Show Source
):
You can
put this solution on YOUR website!
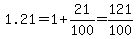
since
is not a repeating decimal (we have only two decimal places), you can solve the problem like this:
Answer by
MathTherapy(10555)
(
Show Source
):
You can
put this solution on YOUR website!
What is 1.21 repeating as a fraction
If you mean: 1.
21
, then fraction is: