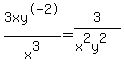
SOLUTION: 3xy^-2/x^3 simplify Express your answers with positive notation. the answer i got was 9x^2/x^6*y^4.
Algebra
->
Real-numbers
-> SOLUTION: 3xy^-2/x^3 simplify Express your answers with positive notation. the answer i got was 9x^2/x^6*y^4.
Log On
Algebra: Real numbers, Irrational numbers, etc
Section
Solvers
Solvers
Lessons
Lessons
Answers archive
Answers
Click here to see ALL problems on real-numbers
Question 733017
:
3xy^-2/x^3 simplify Express your answers with positive notation.
the answer i got was 9x^2/x^6*y^4.
Answer by
tommyt3rd(5050)
(
Show Source
):
You can
put this solution on YOUR website!