SOLUTION: How do you add 9/x + 7/4x^2
Algebra
->
Real-numbers
-> SOLUTION: How do you add 9/x + 7/4x^2
Log On
Algebra: Real numbers, Irrational numbers, etc
Section
Solvers
Solvers
Lessons
Lessons
Answers archive
Answers
Click here to see ALL problems on real-numbers
Question 689756
:
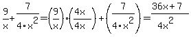
How do you add 9/x + 7/4x^2
Answer by
tommyt3rd(5050)
(
Show Source
):
You can
put this solution on YOUR website!
With a common denominator: